Giant four-fold magnetic anisotropy in nanotwinned NiMnGa epitaxial films
![]()  | 
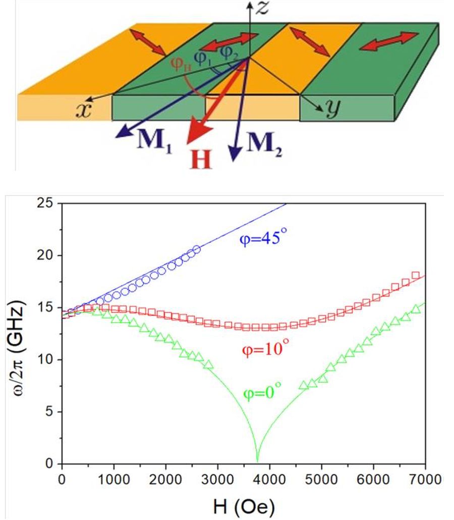
 A method for transforming the uniaxial anisotropy of exchange-coupled nanoelements into a four-fold effective anisotropy while preserving its magnitude is proposed. Giant four-fold magnetic anisotropy (with an anisotropy field of up to 4 kE) was observed for the first time in a twinned epitaxial NiMnGa film. Its appearance is due to exchange coupling between twin variants having strong uniaxial magnetocrystalline anisotropies directed orthogonally when the intertwin exchange field is comparable with the anisotropy field. This finding paves the way to increase the order of magnetic anisotropy in a many-component system while keeping the value of the anisotropy field by tuning the intercomponent exchange strength and can be extended to exchange-coupled multilayers and arrays of nanoelements. It should be noted that even a small deviation of the external field results in a dramatic variation of the resonance conditions, which paves the way for efficient frequency control in spintronic and magnonic applications. Figure shows schematic of the twin structure (top) and experimentally observed and theoretically calculated dependencies of the in-plane resonance frequencies on the external magnetic field applied at different angles (bottom). P. Bondarenko, J. Kharlan, S. A. Bunyaev, O. Salyuk, I. R. Aseguinolaza, J. M. Barandiarán, G. N. Kakazei, V. Chernenko, V. Golub. Giant four-fold magnetic anisotropy in nanotwinned NiMnGa epitaxial films, APL Materials 11, 121114 (2023).  | 
Sustainable multimode generation in a spin-torque nanooscillator
![]()  | 
 For the first time, a sustainable steady-state multimode generation mode has been detected in a nanopillar-based spin-torque nanooscillator (STNO). It is found that the physical process responsible for multimode generation is the second-order parametric instability for the directly excited mode of the STNO—the fundamental mode of the free layer of the STNO. To observe this instability, a spin-wave mode with a frequency lower than the fundamental mode is required, which, at the same time, should not be affected by the spin-transfer torque. Such a non-trivial situation is realized due to the hybridization of the eigenmodes of the fixed layer, which causes a noticeable sensitivity of the multimode regime to external conditions (the angle of the bias field). This parametrically determined mode of multimode generation enriches the diversity of dynamic modes of the STNO and offers prospects for new applications, especially given the possibility of hiding an additional signal by choosing the detection method. In particular, it opens up the possibility of cross-phase-locking of auto-oscillator modes when the signal and locking force are separated in frequency. A. A. Hamadeh, D. Slobodianiuk, R. Moukhader, G. Melkov, V. Borynskyi, M. Mohseni, G. Finocchio, V. Lomakin, R. Verba, G. De Loubens, P. Pirro, and O. Klein, Simultaneous multitone microwave emission by dc-driven spintronic nano-element. [Sci. Adv. 9, eadk1430 (2023)].  | 
Enhancement of magnetoelectric coupling in piezopolymer-ferromagnet composites
![]()  | 
 A giant magnetoelectric response at the resonance frequency of elastic oscillations of the piezopolymer film P(VDF-TrFE) with incorporated to it microparticles of Heusler alloy Ni–Mn-Ga has been discovered and explained. Magnetoelectric coefficient of the film appeared to be two orders of magnitude larger than that being inherent to the other composite materials piezopolymer/ferromagnet. It is shown that the ferroelastic (cubic-tetragonal) phase transition in Ni–Mn-Ga particles drastically changes the magnetoelectric characteristics of Ni–Mn-Ga/P(VDF-TrFE) composite: the peak value of ferroelectric coefficient is equal to 18.1 V/(sm·Oe) for the cubic crystallographic phase of ferromagnetic particles and to 6.05 V/(sm·Oe) for the tetragonal phase. This change is caused by the larger value of magnetic susceptibility in the cubic phase in comparison with that in tetragonal phase. Obtained results have opened the way of the significant amplification of magnetoelectric response of the composite materials piezopolymer/ferromagnet. This way is a substitution of usual ferromagnets by multiferroics. V. A. L’vov, P. Martins, N. Pereira, A. García Díez, H. Hosoda, V. Chernenko, S. Lanceros-Mendez, Giant magnetoelectric effect of Ni–Mn-Ga/piezopolymer composites tailored by a martensitic transformation, [Composite Sci. Technol. 241 110101 (2023)].  | 
Transformation of interactions in layered nanostructures with antiferromagnetic layers of varying thickness
![]()  | 
Antiferromagnetic materials are of fundamental importance to the development of a new generation of memory devices, information and communication systems, and quantum technologies. The potential of these materials is determined by their extremely high operating frequencies (up to several terahertz), resistance to disturbances, absence of parasitic magnetic fields, and the ability to effectively control spin states. However, there is currently a scarcity of information regarding the transformation of the properties of antiferromagnets when their size is reduced to submicron levels. Additionally, there is a lack of knowledge concerning the peculiarities of the influence of neighboring strongly magnetic layers on them in complex composite systems. Scientists from the V. G. Baryakhtar Institute of Magnetism of the National Academy of Sciences of Ukraine, in collaboration with their counterparts from Sweden, Germany and Romania, have achieved a landmark achievement in the field of nanoscience. For the first time, the researchers have investigated the complex interplay of interlayer interactions in nanosystems composed of ferromagnetic (FM) and antiferromagnetic (AFM) components. They found that altering the thickness of the AFM layer by just a few nanometers can significantly impact the magnetic configuration of the entire system. They also identified the limits and directions of changes in the geometric and magnetic parameters of the layers in order to stabilize certain magnetic configurations or control how they switch.  The results obtained from this study serve to further understanding of interlayer exchange in nanostructures that contain an AFM component. These results are promising for application in antiferromagnetic spintronics and terahertz electronics. Polishchuk D. M., Tykhonenko-Polishchuk Yu. O., Lytvynenko Ya. M., Rostas A. M., Kuncser V., Kravets A. F., Tovstolytkin A. I., Gomonay O. V, and Korenivski V. Antiferromagnet-mediated interlayer exchange: Hybridization versus proximity effect, [Phys. Rev. B. 107, 224432 (2023)].  | 
Energy-saving technology of industrial wastewater processing for the extraction of heavy metal ions
![]()  | 
 An innovative technology and installation for ferritization and further crystallization of colloidal iron solutions with the formation of ferrites has been created, which is intended for the processing of spent pickling solutions used in industry, in particular metallurgical industry. An original energy-saving electromagnetic-pulse method of activating the ferritization reaction is proposed, which consumes 60% less energy resources – compared to traditional thermal technology. The results of the work showed that activation by alternating magnetic fields changes the process of formation of phase transitions depending on the technological parameters of ferritization, which affects the technical and economic indicators of obtaining stable intermediate ferrite compounds. In particular, it is shown that the traditional activation of the process requires heating to 75 °C at an energy consumption of 90 W/dm3, while activation by an alternating magnetic field is carried out at room temperature with an energy consumption of about 27 W/dm3. Samchenko, D., Kochetov, G., Derecha, D. O., & Skirta, Y. B. Sustainable approach for galvanic waste processing by energy-saving ferritization with AC-magnetic field activation. [Cogent Engineering, 9(1) (2023)].  | 


                                                            
                                                            



